问题详情
答题翼
>
问答
>
大学专科
> 正文
目录:
标题
|
题干
|
答案
|
搜索
|
相关
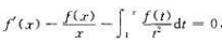
设f(x)在x>0时二阶导数连续且f(1)=2及则f(x)=()。A.x+1B.x2+1C.x3+1D.x+1
设f(x)在x>0时二阶导数连续且f(1)=2及
则f(x)=()。
A.x+1
B.x
2
+1
C.x
3
+1
D.x"+1
请帮忙给出正确答案和分析,谢谢!
参考答案
您可能感兴趣的试题
设函数f(x)在(0 +∞)内具有二阶导数 且f(x)>0 令un=f(n)(n=1 2 …) 则
答案解析
设函数f(x)在x=0的某邻域内具有二阶连续导数。且f(0)≠0 f(0)≠0 f(0)≠0.证明:存在唯一的一组实数λ
答案解析
已知函数f(x y)具有二阶连续偏导数 且f(1 y)=0 f(x 1)=0 其中D={(x y)|0≤x≤1 0≤y≤1} 计算二重积
答案解析
设函数f(x)在[0 1]上有二阶连续导数 且f(0)=f(1)=0 f(x)≠0 x∈(0 1) 证明
答案解析
设函数f(x)在x=0的某邻域内具有二阶连续导数 且f(0)≠0 f'(0)≠0 f"(0)≠0 证明:存在唯一的一组实数λ
答案解析
设f(x)具有二阶连续导数 且f(0)=0 f'(0)=0 f"(0)>0 求 其中u是曲线.y=f(x)上点(x f(x))处的切线在
答案解析
设函数z=f(xy yg(x)) 函数f具有二阶连续偏导数 函数g(x)可导且在x=1处取得极值g(1)=1.求.
答案解析