-
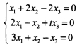
设B是3阶非零矩阵 已知B的每一列都是方程组
-
设A B均为n阶非零矩阵 且AB=0 则R(A) R(B)满足( )。 A.必有一个等于0 B.都
-
设A B均为n阶非零矩阵 且AB=0 则R(A) R(B)满足( )。 A.必有一个等于0 B.都
-
设A B均为n阶非零矩阵 且AB=0 则R(A) R(B)满足( )。 A.必有一个等于0 B.都
-
设B是三阶非零矩阵 已知B的每一列都是方程组
-
设A B均为n阶非零矩阵 且AB=0 则R(A) R(B)满足:A.必有一个等于0 B.都小于nC
-
设A B均为n阶非零矩阵 且AB=0 则R(A) R(B)满足( )。A.必有一个等于0B.都小于n###SXB#