问题详情

答题翼 > 问答 > 大学专科 > 正文
目录: 标题| 题干| 答案| 搜索| 相关

设声波在媒质中的传播速度为u 声源的频率为vs 若声源S不动 而接收器R相对于媒质以速度VB沿着S R连线向着声源S运动 则位于S R连线中点的质点P的振动频率为()。


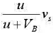
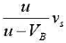
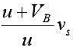
设声波在媒质中的传播速度为u,声源的频率为vs,若声源S不动,而接收器R相对于媒质以速度VB沿着S、R连线向着声源S运动,则位于S、R连线中点的质点P的振动频率为()。

A、VS

B、

C、

D、

请帮忙给出正确答案和分析,谢谢!

参考答案
您可能感兴趣的试题