问题详情
答题翼
>
问答
>
财会类考试
> 正文
目录:
标题
|
题干
|
答案
|
搜索
|
相关
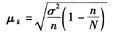
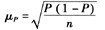
根据上述资料,计算样本平均数和样本成数的抽样平均误差,公式正确的选项是()。A.B.C.D.
根据上述资料,计算样本平均数和样本成数的抽样平均误差,公式正确的选项是()。
A.
B.
C.
D.
参考答案
您可能感兴趣的试题
市场调查的基本顺序可分为确定调查总体、设计和抽取样本、收集样本资料,计算样本指标、用样本指
答案解析
根据上述资料,计算样本平均数,应采用的公式为()。A.B.C.D.E.[*]
答案解析
根据上述资料,计算样本平均数,公式正确的选项是()。A.B.C.D.
答案解析
主要用于样本含量n≤30以下 未经分组资料平均数的计算的是( )。A.加总法B.几何法C.加权法D.直接法
答案解析
主要用于样本含量n≤30以下 未经分组资料平均数的计算的是( )。A.算术法B.几何法C.加权法D.直接法
答案解析
对于大样本资料 计算总体均数的99%可信区间时t值的取值是
答案解析
计算抽样平均误差时 当缺少总体方差资料时可以用样本方差来代替。
答案解析